一、这问题问的不对,这问题就好比在问圆周长除以直径为什么等于π了。哪里需要搬出高数教材?
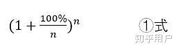
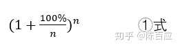
二、常数e的定义计算式就是:
e的发现(对,是发现,不是发明)来自于雅各布·伯努利提出的银行复利问题:
如果银行的年复利是100%,那么一年后本息一共多少钱呢?
(分析:这取决于银行多长时间对你的本金核算一次。若一年核算一次本金,那一年后就得到2倍的钱。但是如果半年核算一次本金呢?三分之一年核算一次本金呢?……每天、每小时、每分钟核算一次本金呢?)一年内内核算本金次数记为n,列式如下:
所以,年复利100%,一年内核算无数次本金,一年后能得到的钱不是没有限制的,它接近于本金x一个常数,这个常数就是不断放大n来算啊算啊,等于2.71828 18284 59045 23536……,伟大的数学家欧拉把这个增长常数算出来并命名为e。
三、应用一瞥:
e在日常生活中有什么应用呢:感兴趣可以搜一下72法则(因为2约等于e的0.72次方),适合快速估算:如果银行给你的年复利是5%,那你本金翻倍的时间就是14.4年:72除以5。(由于72是近似值,所以存在误差问题,而超过三年,误差就非常非常小了,所以很好用)
e在高等数学中:在所有指数函数中,唯有y=e^x的导数和积分都等于它自己e^x
四、为什么叫自然常数呢:
e其实就是单位时间内,持续的翻倍增长所能达到的极限值。
比如:细胞分裂是一个细胞分裂为两个细胞,这就是翻倍增长(即取100%),那么就要问了:假如细胞连续分裂,分裂时长为一天,那么1个细胞在1天结束那刻是几个细胞了呢?
所以要算增长倍数。
粗糙的说,是2。
这其是假定两个细胞完全分开后才各自进行新的分裂(①式中n=1)
But! 如果不等细胞完全生成,即开始新的分裂呢?这才是自然真相:
二分之一天就开始新分裂(①式中n=2)
三分之一天就开始新分裂(①式中n=3)
四分之一天就开始新分裂(①式中n=4)
……
n分之一天就开始新分裂(①式中n=n)
将n取无穷大,那一天后就存在e个细胞。
这数就像自然定律一般存在,所以叫自然常数。


